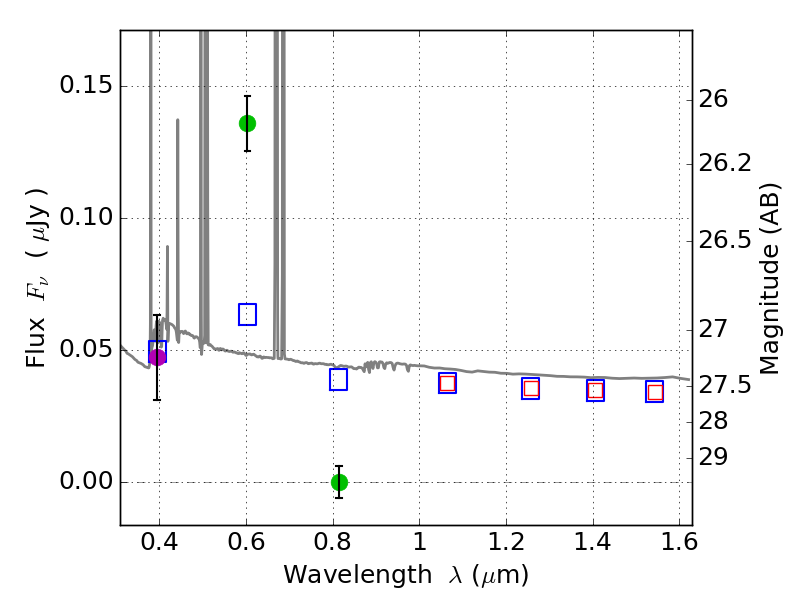
RXS0603+42-S IR detection object #4244

Color images and BPZ results
Catalog: 4244.cat
Black segments are analyzed here.   Roll mouse over color images to view segments.
Best viewed in a wide browser window (1200 pixels or more).   Download SED & P(z) plots to view larger versions.
In P(z) plots: Yellow lines mark the cluster redshift z = 0.228,  

Object #4244   x,y = (3894, 2423)   RA, Dec = (06:03:18.888, 42:09:51.84) = (90.82870, 42.16440)   BPZ = 0.021 [0.010--1.798]   type = 11.00 (SB11_A_0_l)   stellarity = 0.20   chisq2 = 68.80   ODDS = 0.96   z_cluster = 0.228