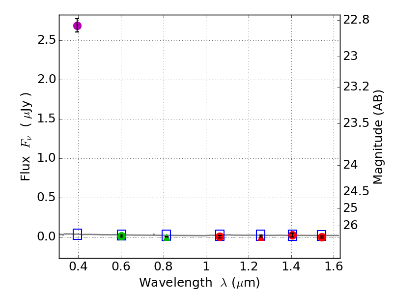
RXS0603+42-S IR detection object #4238

Color images and BPZ results
Catalog: 4238.cat
Black segments are analyzed here.   Roll mouse over color images to view segments.
Best viewed in a wide browser window (1200 pixels or more).   Download SED & P(z) plots to view larger versions.
In P(z) plots: Yellow lines mark the cluster redshift z = 0.228,  

Object #4238   x,y = (3204, 2450)   RA, Dec = (06:03:22.632, 42:09:53.28) = (90.84430, 42.16480)   BPZ = 1.698 [0.656--2.612]   type = 11.00 (SB11_A_0_l)   stellarity = 0.68   chisq2 = 247.80   ODDS = 0.30   z_cluster = 0.228