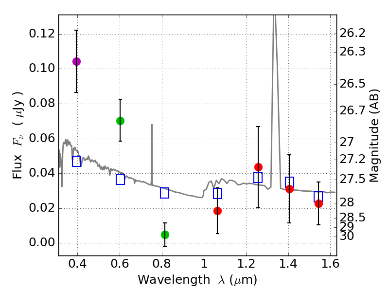
RXS0603+42-S IR detection object #4236

Color images and BPZ results
Catalog: 4236.cat
Black segments are analyzed here.   Roll mouse over color images to view segments.
Best viewed in a wide browser window (1200 pixels or more).   Download SED & P(z) plots to view larger versions.
In P(z) plots: Yellow lines mark the cluster redshift z = 0.228,  

Object #4236   x,y = (2131, 2567)   RA, Dec = (06:03:28.416, 42:10:00.48) = (90.86840, 42.16680)   BPZ = 1.695 [1.352--2.418]   type = 11.00 (SB11_A_0_l)   stellarity = 0.13   chisq2 = 7.11   ODDS = 0.39   z_cluster = 0.228