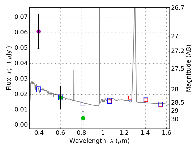
RXS0603+42-S IR detection object #4219

Color images and BPZ results
Catalog: 4219.cat
Black segments are analyzed here.   Roll mouse over color images to view segments.
Best viewed in a wide browser window (1200 pixels or more).   Download SED & P(z) plots to view larger versions.
In P(z) plots: Yellow lines mark the cluster redshift z = 0.228,  

Object #4219   x,y = (1295, 2460)   RA, Dec = (06:03:32.928, 42:09:54.00) = (90.88720, 42.16500)   BPZ = 1.596 [0.815--2.554]   type = 11.00 (SB11_A_0_l)   stellarity = 0.37   chisq2 = 15.07   ODDS = 0.22   z_cluster = 0.228