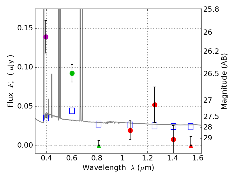
RXS0603+42-S IR detection object #4216

Color images and BPZ results
Catalog: 4216.cat
Black segments are analyzed here.   Roll mouse over color images to view segments.
Best viewed in a wide browser window (1200 pixels or more).   Download SED & P(z) plots to view larger versions.
In P(z) plots: Yellow lines mark the cluster redshift z = 0.228,  

Object #4216   x,y = (3208, 2461)   RA, Dec = (06:03:22.608, 42:09:54.00) = (90.84420, 42.16500)   BPZ = 0.025 [0.021--2.359]   type = 11.00 (SB11_A_0_l)   stellarity = 0.45   chisq2 = 15.90   ODDS = 0.08   z_cluster = 0.228