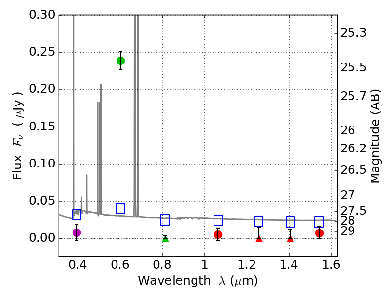
RXS0603+42-S IR detection object #4193

Color images and BPZ results
Catalog: 4193.cat
Black segments are analyzed here.   Roll mouse over color images to view segments.
Best viewed in a wide browser window (1200 pixels or more).   Download SED & P(z) plots to view larger versions.
In P(z) plots: Yellow lines mark the cluster redshift z = 0.228,  

Object #4193   x,y = (3637, 2473)   RA, Dec = (06:03:20.280, 42:09:54.72) = (90.83450, 42.16520)   BPZ = 0.021 [0.010--0.049]   type = 11.00 (SB11_A_0_l)   stellarity = 0.73   chisq2 = 78.13   ODDS = 1.00   z_cluster = 0.228