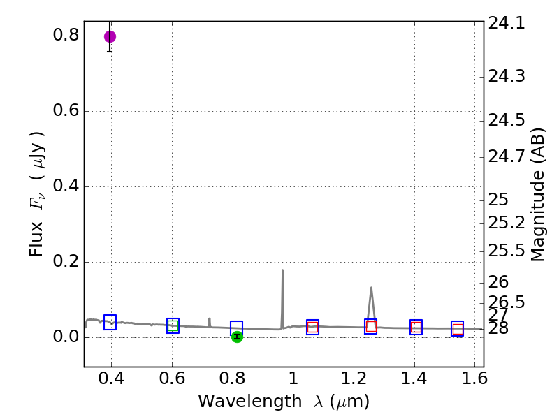
RXS0603+42-S IR detection object #4180

Color images and BPZ results
Catalog: 4180.cat
Black segments are analyzed here.   Roll mouse over color images to view segments.
Best viewed in a wide browser window (1200 pixels or more).   Download SED & P(z) plots to view larger versions.
In P(z) plots: Yellow lines mark the cluster redshift z = 0.228,  

Object #4180   x,y = (977, 2477)   RA, Dec = (06:03:34.632, 42:09:54.72) = (90.89430, 42.16520)   BPZ = 1.595 [1.202--2.233]   type = 11.00 (SB11_A_0_l)   stellarity = 0.65   chisq2 = 356.10   ODDS = 0.33   z_cluster = 0.228