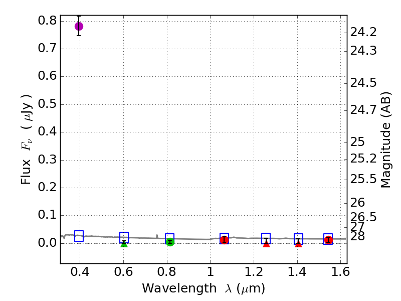
RXS0603+42-S IR detection object #4175

Color images and BPZ results
Catalog: 4175.cat
Black segments are analyzed here.   Roll mouse over color images to view segments.
Best viewed in a wide browser window (1200 pixels or more).   Download SED & P(z) plots to view larger versions.
In P(z) plots: Yellow lines mark the cluster redshift z = 0.228,  

Object #4175   x,y = (3185, 2479)   RA, Dec = (06:03:22.728, 42:09:55.08) = (90.84470, 42.16530)   BPZ = 1.702 [0.822--2.387]   type = 11.00 (SB11_A_0_l)   stellarity = 0.77   chisq2 = 114.00   ODDS = 0.30   z_cluster = 0.228