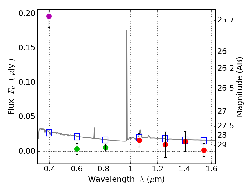
RXS0603+42-S IR detection object #4168

Color images and BPZ results
Catalog: 4168.cat
Black segments are analyzed here.   Roll mouse over color images to view segments.
Best viewed in a wide browser window (1200 pixels or more).   Download SED & P(z) plots to view larger versions.
In P(z) plots: Yellow lines mark the cluster redshift z = 0.228,  

Object #4168   x,y = (3074, 2485)   RA, Dec = (06:03:23.328, 42:09:55.44) = (90.84720, 42.16540)   BPZ = 1.612 [0.949--2.253]   type = 11.00 (SB11_A_0_l)   stellarity = 0.71   chisq2 = 28.25   ODDS = 0.35   z_cluster = 0.228