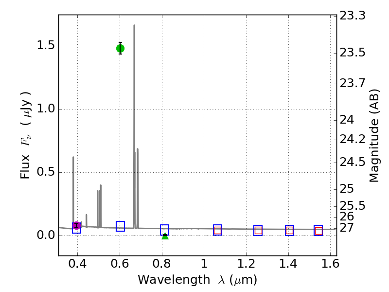
RXS0603+42-S IR detection object #4159

Color images and BPZ results
Catalog: 4159.cat
Black segments are analyzed here.   Roll mouse over color images to view segments.
Best viewed in a wide browser window (1200 pixels or more).   Download SED & P(z) plots to view larger versions.
In P(z) plots: Yellow lines mark the cluster redshift z = 0.228,  

Object #4159   x,y = (1201, 2486)   RA, Dec = (06:03:33.432, 42:09:55.44) = (90.88930, 42.16540)   BPZ = 0.020 [0.010--1.664]   type = 11.00 (SB11_A_0_l)   stellarity = 0.65   chisq2 = 913.80   ODDS = 0.96   z_cluster = 0.228