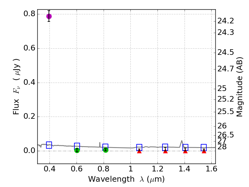
RXS0603+42-S IR detection object #4138

Color images and BPZ results
Catalog: 4138.cat
Black segments are analyzed here.   Roll mouse over color images to view segments.
Best viewed in a wide browser window (1200 pixels or more).   Download SED & P(z) plots to view larger versions.
In P(z) plots: Yellow lines mark the cluster redshift z = 0.228,  

Object #4138   x,y = (3031, 2498)   RA, Dec = (06:03:23.544, 42:09:56.16) = (90.84810, 42.16560)   BPZ = 1.763 [1.176--2.223]   type = 11.00 (SB11_A_0_l)   stellarity = 0.65   chisq2 = 143.90   ODDS = 0.46   z_cluster = 0.228