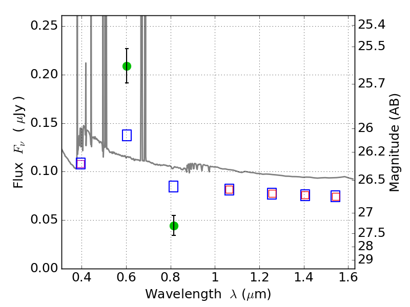
RXS0603+42-S IR detection object #4137

Color images and BPZ results
Catalog: 4137.cat
Black segments are analyzed here.   Roll mouse over color images to view segments.
Best viewed in a wide browser window (1200 pixels or more).   Download SED & P(z) plots to view larger versions.
In P(z) plots: Yellow lines mark the cluster redshift z = 0.228,  

Object #4137   x,y = (4051, 2491)   RA, Dec = (06:03:18.048, 42:09:55.80) = (90.82520, 42.16550)   BPZ = 0.023 [0.010--2.252]   type = 11.00 (SB11_A_0_l)   stellarity = 0.13   chisq2 = 21.20   ODDS = 0.88   z_cluster = 0.228