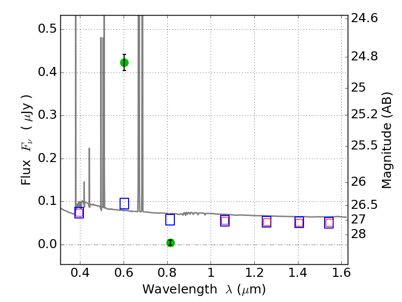
RXS0603+42-S IR detection object #4101

Color images and BPZ results
Catalog: 4101.cat
Black segments are analyzed here.   Roll mouse over color images to view segments.
Best viewed in a wide browser window (1200 pixels or more).   Download SED & P(z) plots to view larger versions.
In P(z) plots: Yellow lines mark the cluster redshift z = 0.228,  

Object #4101   x,y = (4120, 2519)   RA, Dec = (06:03:17.664, 42:09:57.60) = (90.82360, 42.16600)   BPZ = 0.018 [0.010--0.039]   type = 11.00 (SB11_A_0_l)   stellarity = 0.71   chisq2 = 301.70   ODDS = 1.00   z_cluster = 0.228