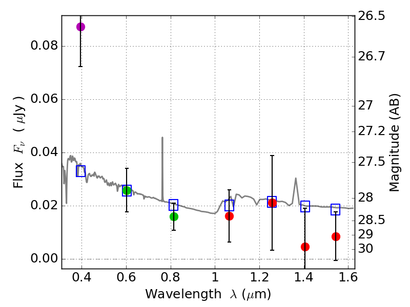
RXS0603+42-S IR detection object #4064

Color images and BPZ results
Catalog: 4064.cat
Black segments are analyzed here.   Roll mouse over color images to view segments.
Best viewed in a wide browser window (1200 pixels or more).   Download SED & P(z) plots to view larger versions.
In P(z) plots: Yellow lines mark the cluster redshift z = 0.228,  

Object #4064   x,y = (2214, 2548)   RA, Dec = (06:03:27.960, 42:09:59.04) = (90.86650, 42.16640)   BPZ = 1.732 [0.518--2.569]   type = 11.00 (SB11_A_0_l)   stellarity = 0.39   chisq2 = 3.92   ODDS = 0.31   z_cluster = 0.228