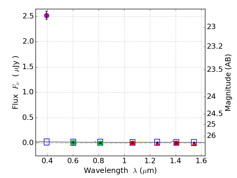
RXS0603+42-S IR detection object #4015

Color images and BPZ results
Catalog: 4015.cat
Black segments are analyzed here.   Roll mouse over color images to view segments.
Best viewed in a wide browser window (1200 pixels or more).   Download SED & P(z) plots to view larger versions.
In P(z) plots: Yellow lines mark the cluster redshift z = 0.228,  

Object #4015   x,y = (2800, 2575)   RA, Dec = (06:03:24.792, 42:10:00.84) = (90.85330, 42.16690)   BPZ = 1.763 [0.476--2.937]   type = 11.00 (SB11_A_0_l)   stellarity = 0.99   chisq2 = 257.00   ODDS = 0.24   z_cluster = 0.228