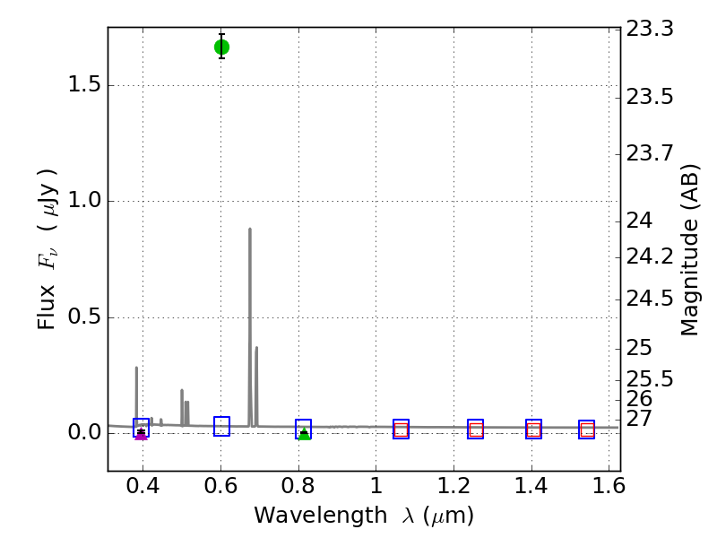
RXS0603+42-S IR detection object #4006

Color images and BPZ results
Catalog: 4006.cat
Black segments are analyzed here.   Roll mouse over color images to view segments.
Best viewed in a wide browser window (1200 pixels or more).   Download SED & P(z) plots to view larger versions.
In P(z) plots: Yellow lines mark the cluster redshift z = 0.228,  

Object #4006   x,y = (1230, 2580)   RA, Dec = (06:03:33.264, 42:10:01.20) = (90.88860, 42.16700)   BPZ = 0.030 [0.018--3.162]   type = 11.00 (SB11_A_0_l)   stellarity = 0.80   chisq2 = 989.10   ODDS = 0.16   z_cluster = 0.228