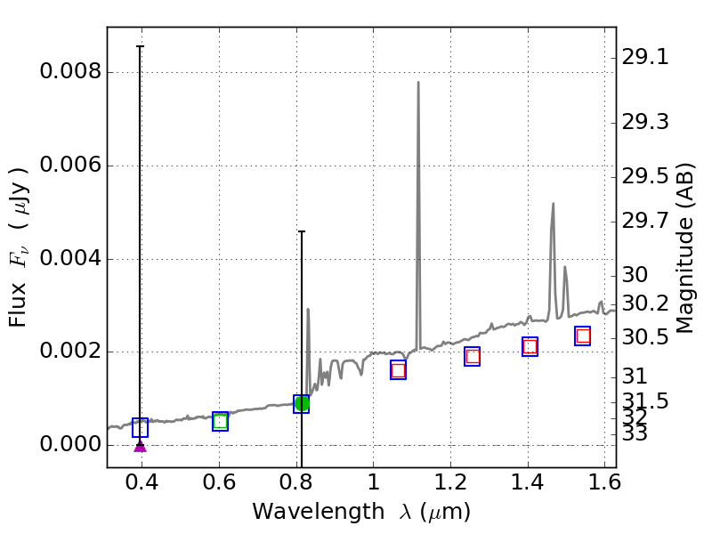
RXS0603+42-S IR detection object #3991

Color images and BPZ results
Catalog: 3991.cat
Black segments are analyzed here.   Roll mouse over color images to view segments.
Best viewed in a wide browser window (1200 pixels or more).   Download SED & P(z) plots to view larger versions.
In P(z) plots: Yellow lines mark the cluster redshift z = 0.228,  

Object #3991   x,y = (1231, 2609)   RA, Dec = (06:03:33.264, 42:10:03.00) = (90.88860, 42.16750)   BPZ = 1.228 [0.353--9.365]   type = 8.00 (SB1_B10)   stellarity = 0.75   chisq2 = 900.00   ODDS = 0.05   z_cluster = 0.228