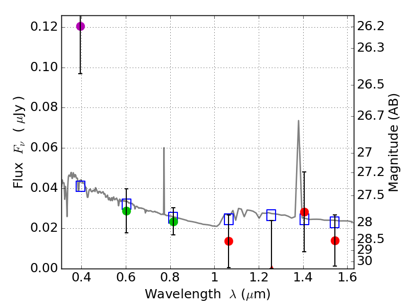
RXS0603+42-S IR detection object #3989

Color images and BPZ results
Catalog: 3989.cat
Black segments are analyzed here.   Roll mouse over color images to view segments.
Best viewed in a wide browser window (1200 pixels or more).   Download SED & P(z) plots to view larger versions.
In P(z) plots: Yellow lines mark the cluster redshift z = 0.228,  

Object #3989   x,y = (2908, 2586)   RA, Dec = (06:03:24.216, 42:10:01.56) = (90.85090, 42.16710)   BPZ = 1.763 [0.326--2.753]   type = 11.00 (SB11_A_0_l)   stellarity = 0.33   chisq2 = 3.41   ODDS = 0.20   z_cluster = 0.228