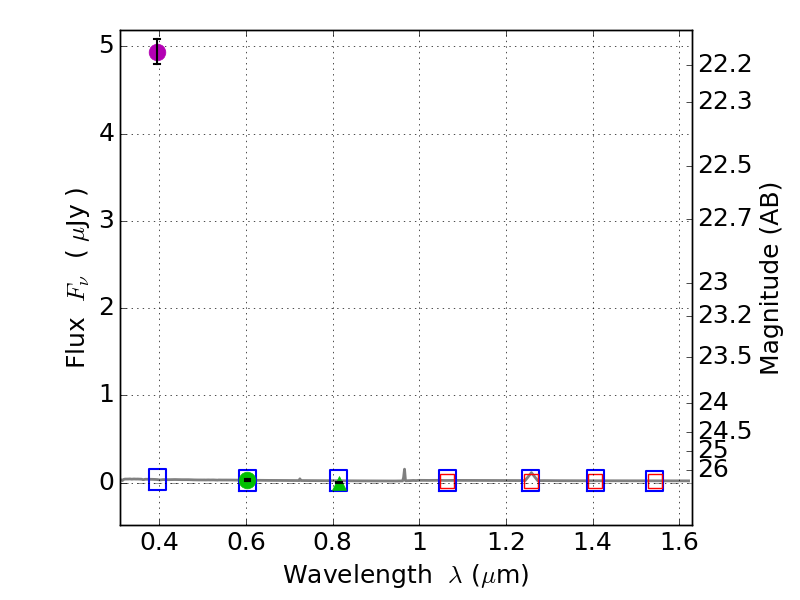
RXS0603+42-S IR detection object #3949

Color images and BPZ results
Catalog: 3949.cat
Black segments are analyzed here.   Roll mouse over color images to view segments.
Best viewed in a wide browser window (1200 pixels or more).   Download SED & P(z) plots to view larger versions.
In P(z) plots: Yellow lines mark the cluster redshift z = 0.228,  

Object #3949   x,y = (3998, 2602)   RA, Dec = (06:03:18.336, 42:10:02.28) = (90.82640, 42.16730)   BPZ = 1.594 [0.520--2.877]   type = 11.00 (SB11_A_0_l)   stellarity = 1.00   chisq2 = 1099.00   ODDS = 0.20   z_cluster = 0.228