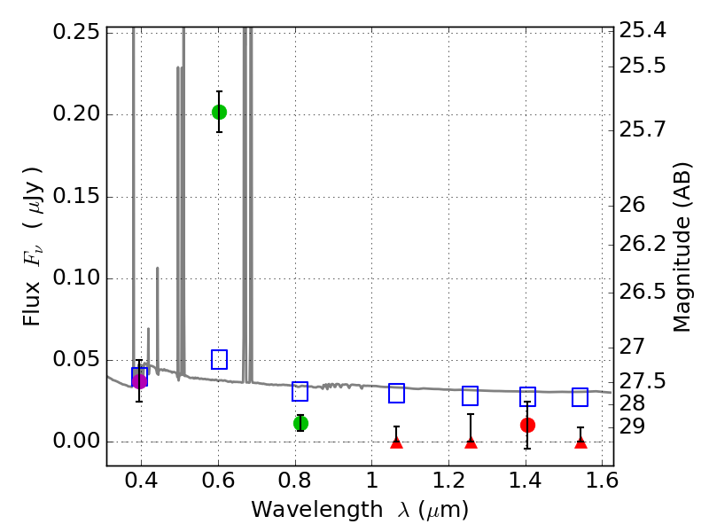
RXS0603+42-S IR detection object #3946

Color images and BPZ results
Catalog: 3946.cat
Black segments are analyzed here.   Roll mouse over color images to view segments.
Best viewed in a wide browser window (1200 pixels or more).   Download SED & P(z) plots to view larger versions.
In P(z) plots: Yellow lines mark the cluster redshift z = 0.228,  

Object #3946   x,y = (2891, 2607)   RA, Dec = (06:03:24.312, 42:10:02.64) = (90.85130, 42.16740)   BPZ = 0.022 [0.010--0.051]   type = 11.00 (SB11_A_0_l)   stellarity = 0.51   chisq2 = 43.38   ODDS = 1.00   z_cluster = 0.228