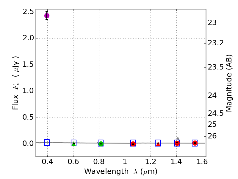
RXS0603+42-S IR detection object #3933

Color images and BPZ results
Catalog: 3933.cat
Black segments are analyzed here.   Roll mouse over color images to view segments.
Best viewed in a wide browser window (1200 pixels or more).   Download SED & P(z) plots to view larger versions.
In P(z) plots: Yellow lines mark the cluster redshift z = 0.228,  

Object #3933   x,y = (2827, 2613)   RA, Dec = (06:03:24.648, 42:10:03.00) = (90.85270, 42.16750)   BPZ = 1.825 [0.591--2.964]   type = 11.00 (SB11_A_0_l)   stellarity = 0.96   chisq2 = 238.70   ODDS = 0.20   z_cluster = 0.228