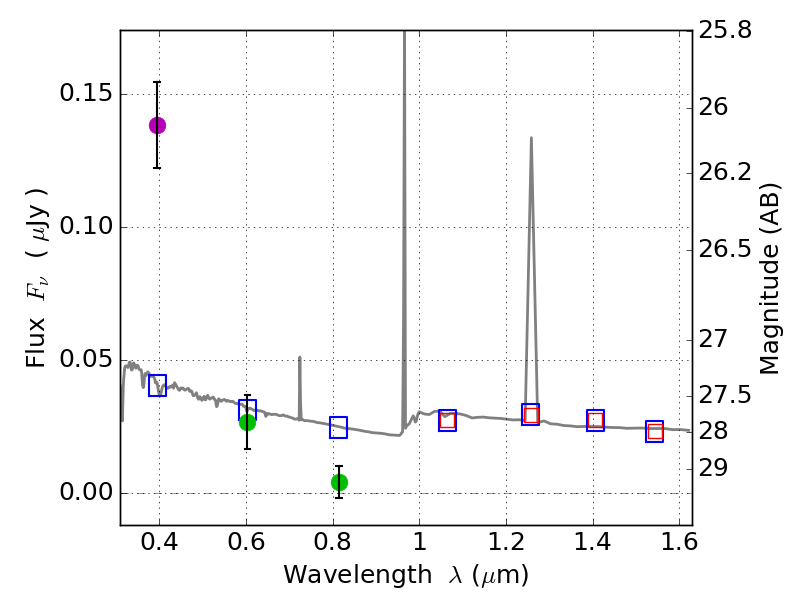
RXS0603+42-S IR detection object #3921

Color images and BPZ results
Catalog: 3921.cat
Black segments are analyzed here.   Roll mouse over color images to view segments.
Best viewed in a wide browser window (1200 pixels or more).   Download SED & P(z) plots to view larger versions.
In P(z) plots: Yellow lines mark the cluster redshift z = 0.228,  

Object #3921   x,y = (1580, 2619)   RA, Dec = (06:03:31.392, 42:10:03.36) = (90.88080, 42.16760)   BPZ = 1.595 [1.212--2.229]   type = 11.00 (SB11_A_0_l)   stellarity = 0.37   chisq2 = 46.37   ODDS = 0.32   z_cluster = 0.228