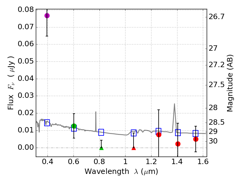
RXS0603+42-S IR detection object #3917

Color images and BPZ results
Catalog: 3917.cat
Black segments are analyzed here.   Roll mouse over color images to view segments.
Best viewed in a wide browser window (1200 pixels or more).   Download SED & P(z) plots to view larger versions.
In P(z) plots: Yellow lines mark the cluster redshift z = 0.228,  

Object #3917   x,y = (1647, 2619)   RA, Dec = (06:03:31.008, 42:10:03.36) = (90.87920, 42.16760)   BPZ = 1.762 [0.402--3.551]   type = 11.00 (SB11_A_0_l)   stellarity = 0.35   chisq2 = 8.05   ODDS = 0.18   z_cluster = 0.228