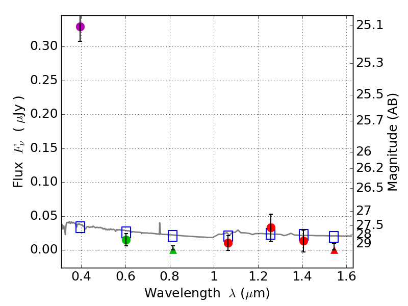
RXS0603+42-S IR detection object #3905

Color images and BPZ results
Catalog: 3905.cat
Black segments are analyzed here.   Roll mouse over color images to view segments.
Best viewed in a wide browser window (1200 pixels or more).   Download SED & P(z) plots to view larger versions.
In P(z) plots: Yellow lines mark the cluster redshift z = 0.228,  

Object #3905   x,y = (2646, 2623)   RA, Dec = (06:03:25.632, 42:10:03.72) = (90.85680, 42.16770)   BPZ = 1.697 [1.213--2.183]   type = 11.00 (SB11_A_0_l)   stellarity = 0.57   chisq2 = 49.19   ODDS = 0.53   z_cluster = 0.228