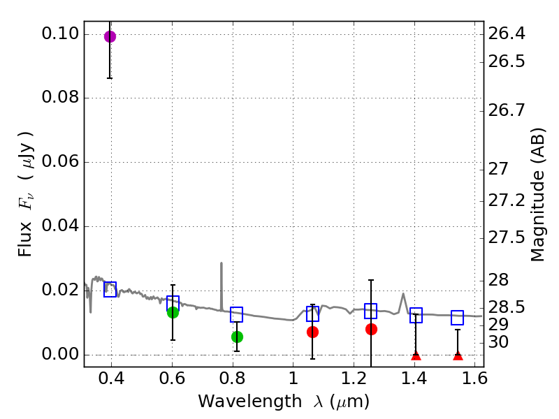
RXS0603+42-S IR detection object #3882

Color images and BPZ results
Catalog: 3882.cat
Black segments are analyzed here.   Roll mouse over color images to view segments.
Best viewed in a wide browser window (1200 pixels or more).   Download SED & P(z) plots to view larger versions.
In P(z) plots: Yellow lines mark the cluster redshift z = 0.228,  

Object #3882   x,y = (2952, 2650)   RA, Dec = (06:03:23.976, 42:10:05.52) = (90.84990, 42.16820)   BPZ = 1.733 [0.517--2.619]   type = 11.00 (SB11_A_0_l)   stellarity = 0.38   chisq2 = 10.25   ODDS = 0.29   z_cluster = 0.228