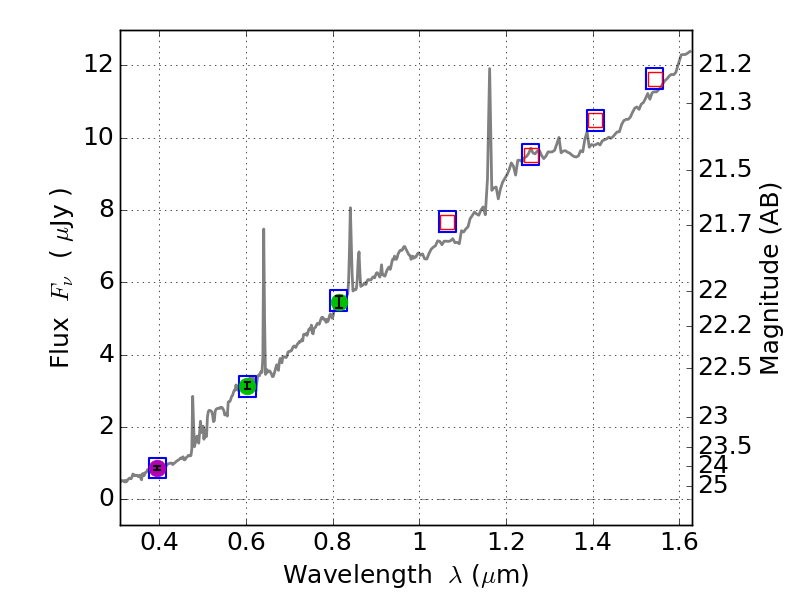
RXS0603+42-S IR detection object #3871

Color images and BPZ results
Catalog: 3871.cat
Black segments are analyzed here.   Roll mouse over color images to view segments.
Best viewed in a wide browser window (1200 pixels or more).   Download SED & P(z) plots to view larger versions.
In P(z) plots: Yellow lines mark the cluster redshift z = 0.228,  

Object #3871   x,y = (3781, 2642)   RA, Dec = (06:03:19.512, 42:10:04.80) = (90.83130, 42.16800)   BPZ = 0.276 [0.087--0.409]   type = 6.60 (Scd_B10 - Sbc_B10)   stellarity = 0.09   chisq2 = 0.00   ODDS = 0.42   z_cluster = 0.228