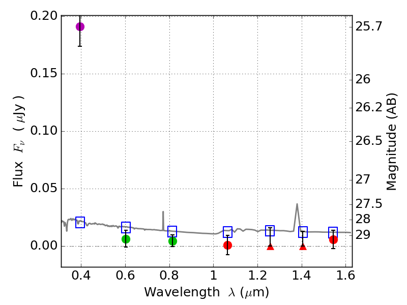
RXS0603+42-S IR detection object #3866

Color images and BPZ results
Catalog: 3866.cat
Black segments are analyzed here.   Roll mouse over color images to view segments.
Best viewed in a wide browser window (1200 pixels or more).   Download SED & P(z) plots to view larger versions.
In P(z) plots: Yellow lines mark the cluster redshift z = 0.228,  

Object #3866   x,y = (2563, 2651)   RA, Dec = (06:03:26.088, 42:10:05.52) = (90.85870, 42.16820)   BPZ = 1.763 [0.625--2.619]   type = 11.00 (SB11_A_0_l)   stellarity = 0.65   chisq2 = 25.37   ODDS = 0.26   z_cluster = 0.228