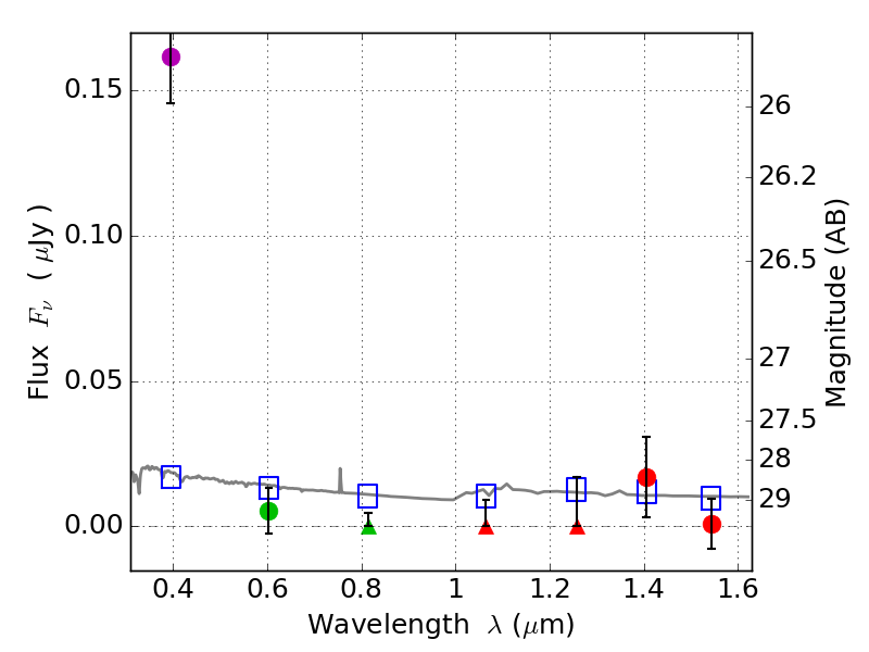
RXS0603+42-S IR detection object #3814

Color images and BPZ results
Catalog: 3814.cat
Black segments are analyzed here.   Roll mouse over color images to view segments.
Best viewed in a wide browser window (1200 pixels or more).   Download SED & P(z) plots to view larger versions.
In P(z) plots: Yellow lines mark the cluster redshift z = 0.228,  

Object #3814   x,y = (3077, 2679)   RA, Dec = (06:03:23.304, 42:10:06.96) = (90.84710, 42.16860)   BPZ = 1.696 [0.532--3.512]   type = 11.00 (SB11_A_0_l)   stellarity = 0.41   chisq2 = 21.67   ODDS = 0.23   z_cluster = 0.228