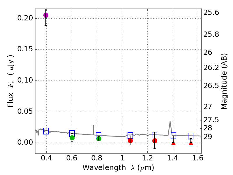
RXS0603+42-S IR detection object #3808

Color images and BPZ results
Catalog: 3808.cat
Black segments are analyzed here.   Roll mouse over color images to view segments.
Best viewed in a wide browser window (1200 pixels or more).   Download SED & P(z) plots to view larger versions.
In P(z) plots: Yellow lines mark the cluster redshift z = 0.228,  

Object #3808   x,y = (2500, 2684)   RA, Dec = (06:03:26.424, 42:10:07.32) = (90.86010, 42.16870)   BPZ = 1.764 [0.660--2.485]   type = 11.00 (SB11_A_0_l)   stellarity = 0.65   chisq2 = 32.87   ODDS = 0.32   z_cluster = 0.228