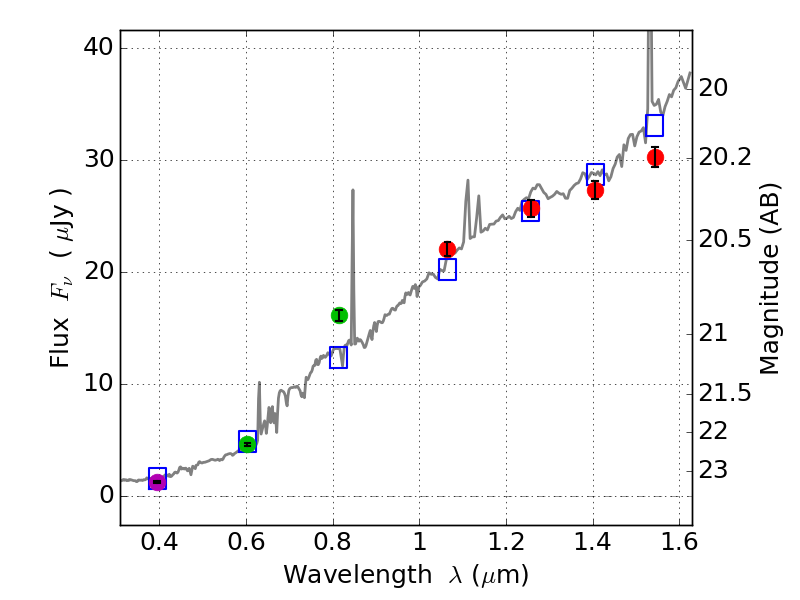
RXS0603+42-S IR detection object #3788

Color images and BPZ results
Catalog: 3788.cat
Black segments are analyzed here.   Roll mouse over color images to view segments.
Best viewed in a wide browser window (1200 pixels or more).   Download SED & P(z) plots to view larger versions.
In P(z) plots: Yellow lines mark the cluster redshift z = 0.228,  

Object #3788   x,y = (2576, 2683)   RA, Dec = (06:03:26.016, 42:10:07.32) = (90.85840, 42.16870)   BPZ = 0.687 [0.556--0.729]   type = 6.50 (Scd_B10 - Sbc_B10)   stellarity = 0.99   chisq2 = 1.31   ODDS = 0.66   z_cluster = 0.228