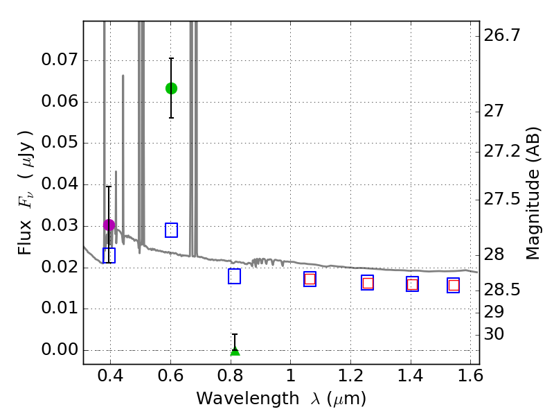
RXS0603+42-S IR detection object #3773

Color images and BPZ results
Catalog: 3773.cat
Black segments are analyzed here.   Roll mouse over color images to view segments.
Best viewed in a wide browser window (1200 pixels or more).   Download SED & P(z) plots to view larger versions.
In P(z) plots: Yellow lines mark the cluster redshift z = 0.228,  

Object #3773   x,y = (3867, 2703)   RA, Dec = (06:03:19.032, 42:10:08.40) = (90.82930, 42.16900)   BPZ = 0.025 [0.018--2.697]   type = 11.00 (SB11_A_0_l)   stellarity = 0.48   chisq2 = 39.02   ODDS = 0.12   z_cluster = 0.228