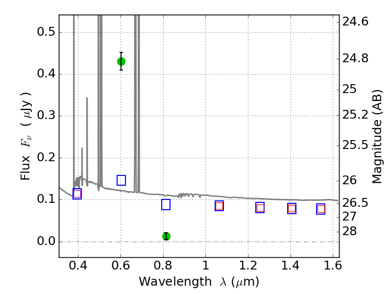
RXS0603+42-S IR detection object #3760

Color images and BPZ results
Catalog: 3760.cat
Black segments are analyzed here.   Roll mouse over color images to view segments.
Best viewed in a wide browser window (1200 pixels or more).   Download SED & P(z) plots to view larger versions.
In P(z) plots: Yellow lines mark the cluster redshift z = 0.228,  

Object #3760   x,y = (4222, 2770)   RA, Dec = (06:03:17.136, 42:10:12.36) = (90.82140, 42.17010)   BPZ = 0.018 [0.010--0.038]   type = 11.00 (SB11_A_0_l)   stellarity = 0.85   chisq2 = 190.60   ODDS = 1.00   z_cluster = 0.228