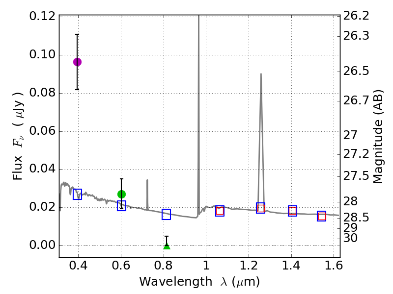
RXS0603+42-S IR detection object #3752

Color images and BPZ results
Catalog: 3752.cat
Black segments are analyzed here.   Roll mouse over color images to view segments.
Best viewed in a wide browser window (1200 pixels or more).   Download SED & P(z) plots to view larger versions.
In P(z) plots: Yellow lines mark the cluster redshift z = 0.228,  

Object #3752   x,y = (1501, 2712)   RA, Dec = (06:03:31.800, 42:10:09.12) = (90.88250, 42.16920)   BPZ = 1.595 [1.077--2.419]   type = 11.00 (SB11_A_0_l)   stellarity = 0.35   chisq2 = 33.20   ODDS = 0.26   z_cluster = 0.228