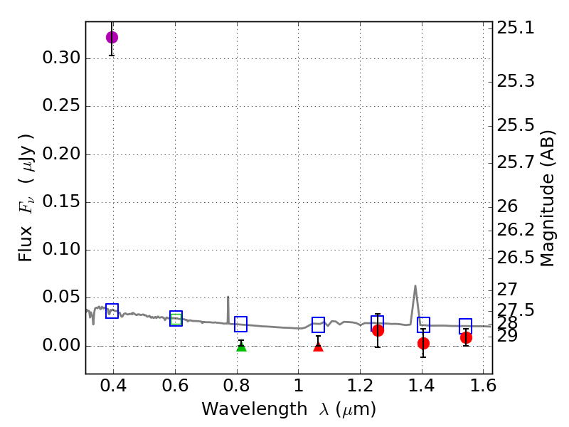
RXS0603+42-S IR detection object #3698

Color images and BPZ results
Catalog: 3698.cat
Black segments are analyzed here.   Roll mouse over color images to view segments.
Best viewed in a wide browser window (1200 pixels or more).   Download SED & P(z) plots to view larger versions.
In P(z) plots: Yellow lines mark the cluster redshift z = 0.228,  

Object #3698   x,y = (2366, 2742)   RA, Dec = (06:03:27.144, 42:10:10.92) = (90.86310, 42.16970)   BPZ = 1.763 [1.424--2.202]   type = 11.00 (SB11_A_0_l)   stellarity = 0.65   chisq2 = 76.48   ODDS = 0.49   z_cluster = 0.228