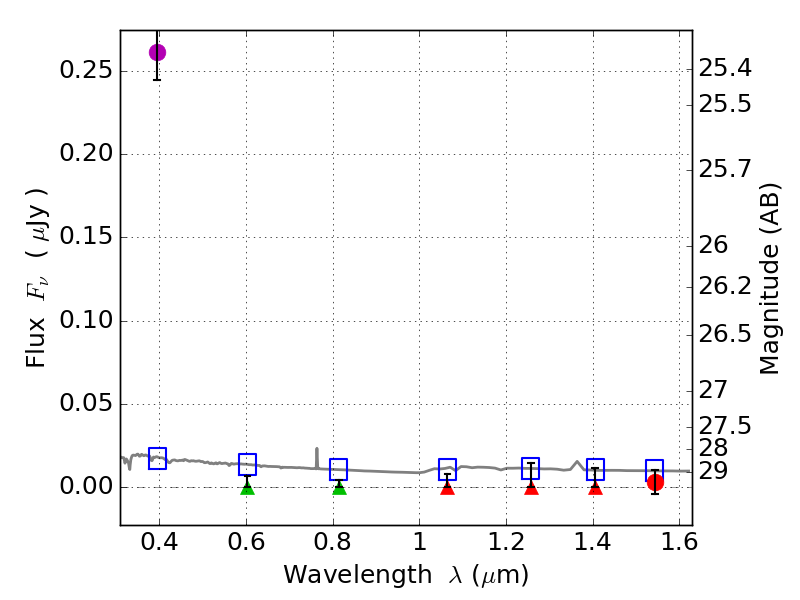
RXS0603+42-S IR detection object #3692

Color images and BPZ results
Catalog: 3692.cat
Black segments are analyzed here.   Roll mouse over color images to view segments.
Best viewed in a wide browser window (1200 pixels or more).   Download SED & P(z) plots to view larger versions.
In P(z) plots: Yellow lines mark the cluster redshift z = 0.228,  

Object #3692   x,y = (2400, 2747)   RA, Dec = (06:03:26.952, 42:10:11.28) = (90.86230, 42.16980)   BPZ = 1.731 [0.769--2.569]   type = 11.00 (SB11_A_0_l)   stellarity = 0.71   chisq2 = 53.38   ODDS = 0.30   z_cluster = 0.228