RXS0603+42-S IR detection object #3677

Color images and BPZ results
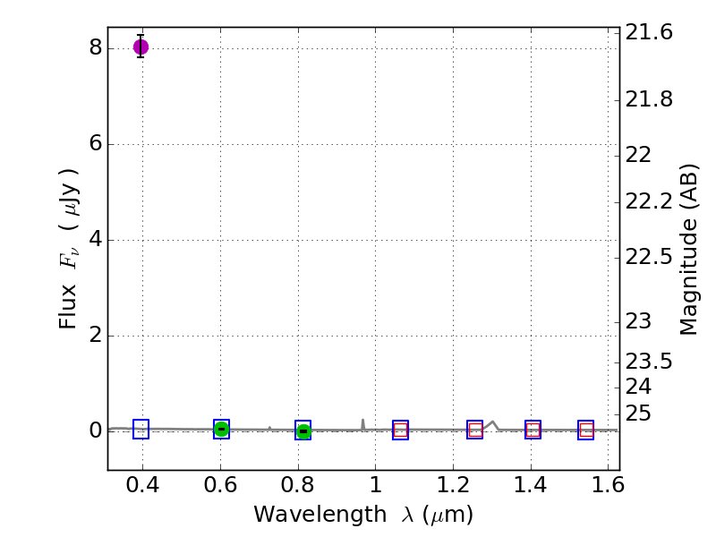
Catalog: 3677.cat
Black segments are analyzed here.   Roll mouse over color images to view segments.
Best viewed in a wide browser window (1200 pixels or more).   Download SED & P(z) plots to view larger versions.
In P(z) plots: Yellow lines mark the cluster redshift z = 0.228,  

Object #3677   x,y = (4059, 2752)   RA, Dec = (06:03:18.000, 42:10:11.28) = (90.82500, 42.16980)   BPZ = 1.596 [0.901--2.620]   type = 11.00 (SB11_A_0_l)   stellarity = 1.00   chisq2 = 1140.00   ODDS = 0.23   z_cluster = 0.228