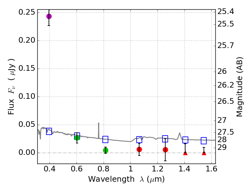
RXS0603+42-S IR detection object #3662

Color images and BPZ results
Catalog: 3662.cat
Black segments are analyzed here.   Roll mouse over color images to view segments.
Best viewed in a wide browser window (1200 pixels or more).   Download SED & P(z) plots to view larger versions.
In P(z) plots: Yellow lines mark the cluster redshift z = 0.228,  

Object #3662   x,y = (3412, 2759)   RA, Dec = (06:03:21.504, 42:10:12.00) = (90.83960, 42.17000)   BPZ = 1.732 [1.448--2.158]   type = 11.00 (SB11_A_0_l)   stellarity = 0.49   chisq2 = 41.09   ODDS = 0.55   z_cluster = 0.228