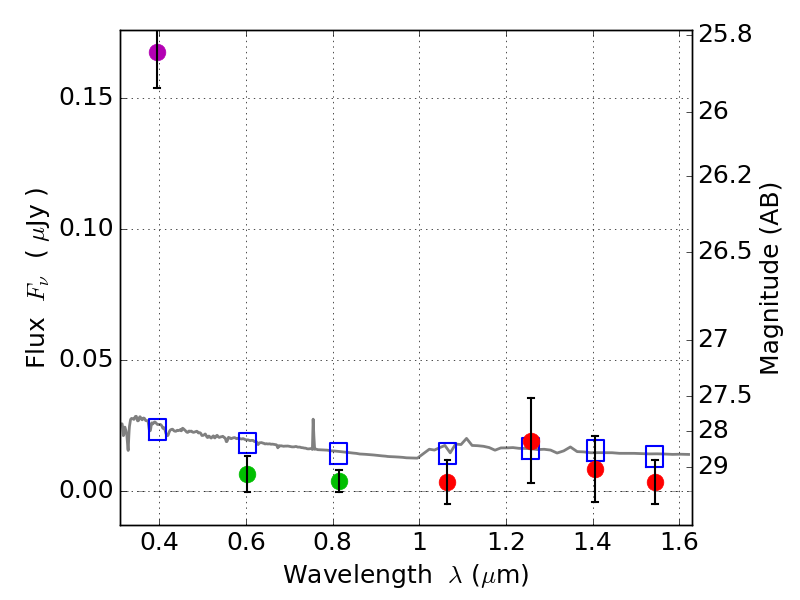
RXS0603+42-S IR detection object #3656

Color images and BPZ results
Catalog: 3656.cat
Black segments are analyzed here.   Roll mouse over color images to view segments.
Best viewed in a wide browser window (1200 pixels or more).   Download SED & P(z) plots to view larger versions.
In P(z) plots: Yellow lines mark the cluster redshift z = 0.228,  

Object #3656   x,y = (3210, 2763)   RA, Dec = (06:03:22.584, 42:10:12.00) = (90.84410, 42.17000)   BPZ = 1.697 [1.061--2.281]   type = 11.00 (SB11_A_0_l)   stellarity = 0.69   chisq2 = 29.54   ODDS = 0.43   z_cluster = 0.228