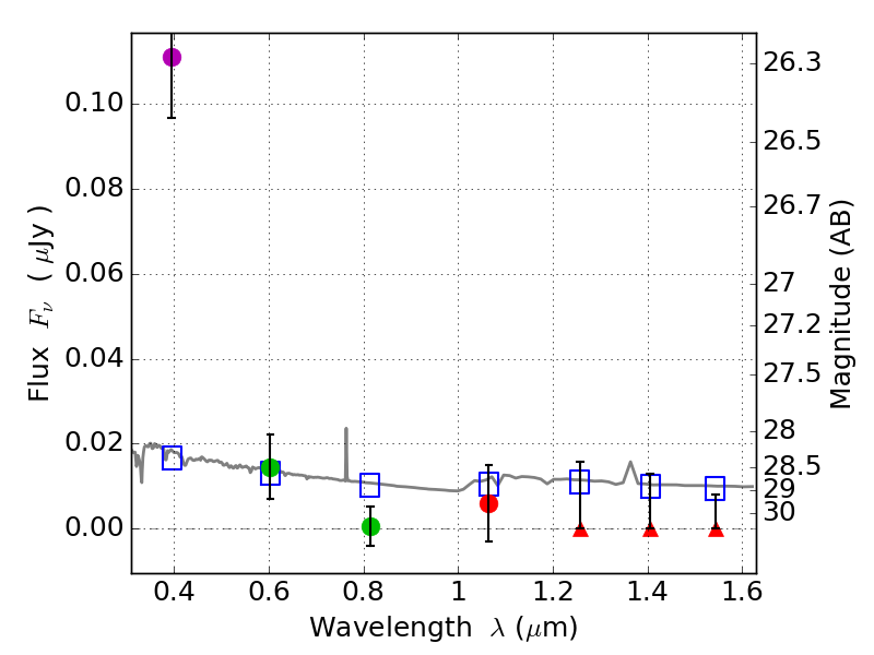
RXS0603+42-S IR detection object #3649

Color images and BPZ results
Catalog: 3649.cat
Black segments are analyzed here.   Roll mouse over color images to view segments.
Best viewed in a wide browser window (1200 pixels or more).   Download SED & P(z) plots to view larger versions.
In P(z) plots: Yellow lines mark the cluster redshift z = 0.228,  

Object #3649   x,y = (1633, 2767)   RA, Dec = (06:03:31.104, 42:10:12.36) = (90.87960, 42.17010)   BPZ = 1.733 [0.490--4.054]   type = 11.00 (SB11_A_0_l)   stellarity = 0.35   chisq2 = 12.28   ODDS = 0.22   z_cluster = 0.228