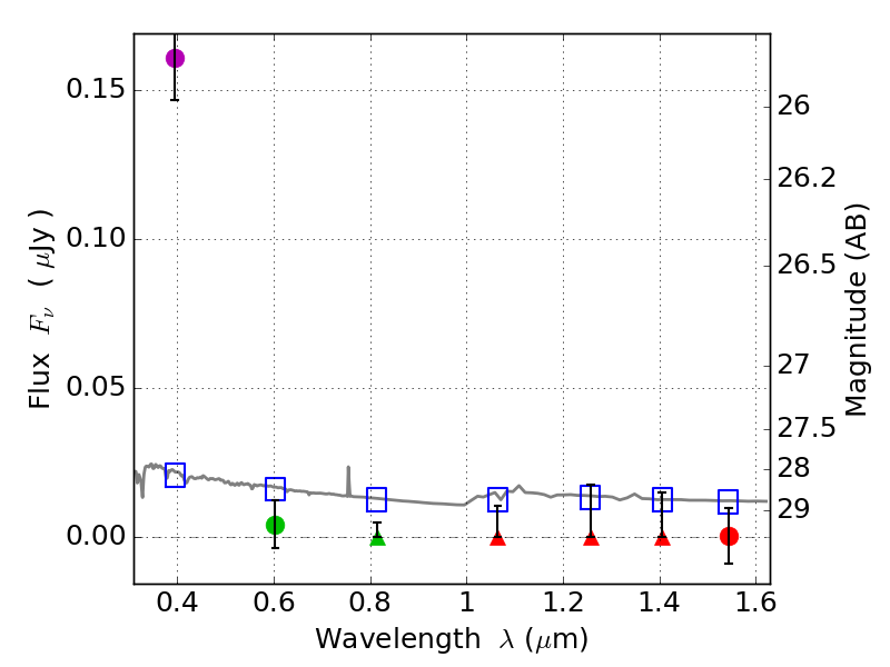
RXS0603+42-S IR detection object #3622

Color images and BPZ results
Catalog: 3622.cat
Black segments are analyzed here.   Roll mouse over color images to view segments.
Best viewed in a wide browser window (1200 pixels or more).   Download SED & P(z) plots to view larger versions.
In P(z) plots: Yellow lines mark the cluster redshift z = 0.228,  

Object #3622   x,y = (3277, 2779)   RA, Dec = (06:03:22.224, 42:10:13.08) = (90.84260, 42.17030)   BPZ = 1.700 [0.833--2.475]   type = 11.00 (SB11_A_0_l)   stellarity = 0.67   chisq2 = 26.84   ODDS = 0.33   z_cluster = 0.228