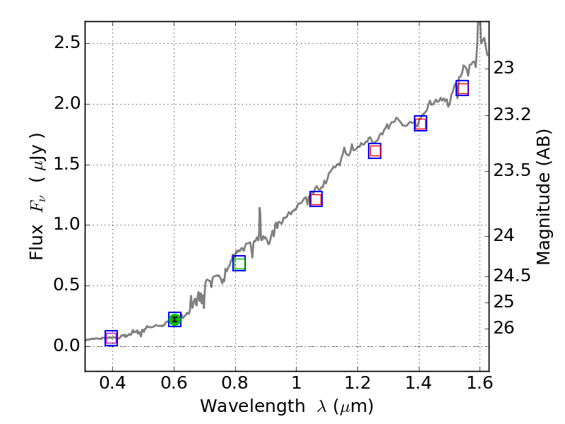
RXS0603+42-S IR detection object #36

Color images and BPZ results
Catalog: 36.cat
Black segments are analyzed here.   Roll mouse over color images to view segments.
Best viewed in a wide browser window (1200 pixels or more).   Download SED & P(z) plots to view larger versions.
In P(z) plots: Yellow lines mark the cluster redshift z = 0.228,  

Object #36   x,y = (2037, 4327)   RA, Dec = (06:03:28.920, 42:11:45.96) = (90.87050, 42.19610)   BPZ = 0.759 [0.193--4.715]   type = 6.10 (Sbc_B10 - Scd_B10)   stellarity = 0.39   chisq2 = 990.00   ODDS = 0.08   z_cluster = 0.228