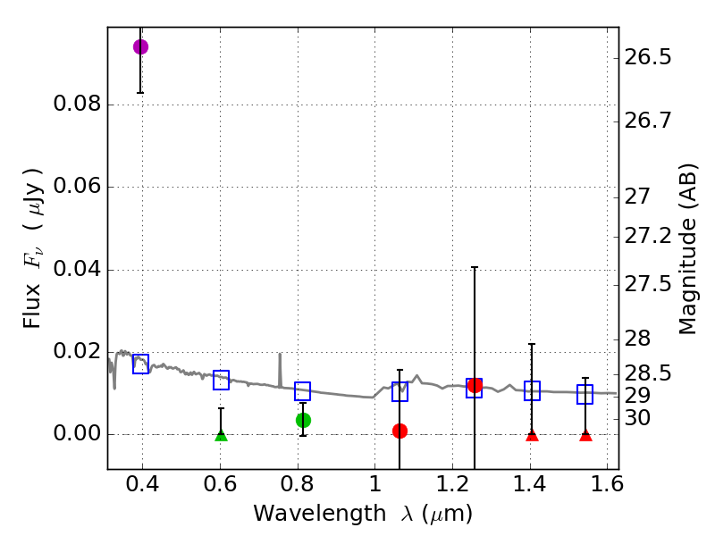
RXS0603+42-S IR detection object #3591

Color images and BPZ results
Catalog: 3591.cat
Black segments are analyzed here.   Roll mouse over color images to view segments.
Best viewed in a wide browser window (1200 pixels or more).   Download SED & P(z) plots to view larger versions.
In P(z) plots: Yellow lines mark the cluster redshift z = 0.228,  

Object #3591   x,y = (3646, 2795)   RA, Dec = (06:03:20.232, 42:10:14.16) = (90.83430, 42.17060)   BPZ = 1.698 [0.639--2.621]   type = 11.00 (SB11_A_0_l)   stellarity = 0.37   chisq2 = 13.48   ODDS = 0.24   z_cluster = 0.228