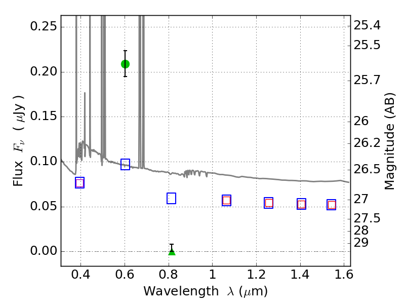
RXS0603+42-S IR detection object #3589

Color images and BPZ results
Catalog: 3589.cat
Black segments are analyzed here.   Roll mouse over color images to view segments.
Best viewed in a wide browser window (1200 pixels or more).   Download SED & P(z) plots to view larger versions.
In P(z) plots: Yellow lines mark the cluster redshift z = 0.228,  

Object #3589   x,y = (4241, 2794)   RA, Dec = (06:03:17.016, 42:10:13.80) = (90.82090, 42.17050)   BPZ = 0.020 [0.010--0.044]   type = 11.00 (SB11_A_0_l)   stellarity = 0.97   chisq2 = 84.38   ODDS = 1.00   z_cluster = 0.228