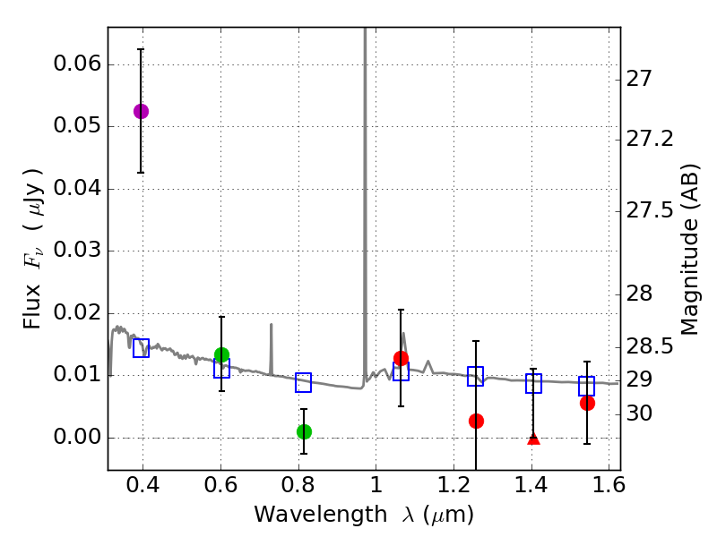
RXS0603+42-S IR detection object #3555

Color images and BPZ results
Catalog: 3555.cat
Black segments are analyzed here.   Roll mouse over color images to view segments.
Best viewed in a wide browser window (1200 pixels or more).   Download SED & P(z) plots to view larger versions.
In P(z) plots: Yellow lines mark the cluster redshift z = 0.228,  

Object #3555   x,y = (1849, 2805)   RA, Dec = (06:03:29.928, 42:10:14.52) = (90.87470, 42.17070)   BPZ = 1.613 [0.503--3.100]   type = 11.00 (SB11_A_0_l)   stellarity = 0.38   chisq2 = 5.03   ODDS = 0.19   z_cluster = 0.228