RXS0603+42-S IR detection object #3540

Color images and BPZ results
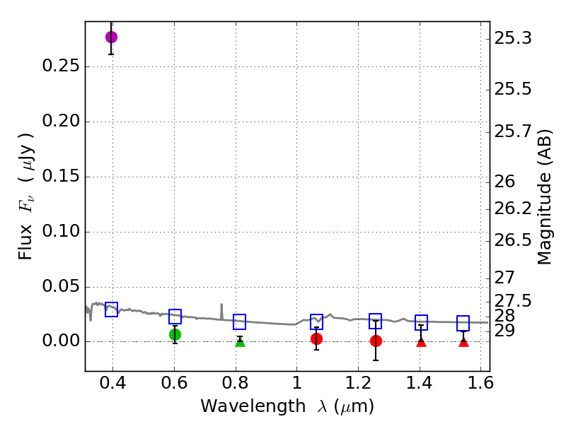
Catalog: 3540.cat
Black segments are analyzed here.   Roll mouse over color images to view segments.
Best viewed in a wide browser window (1200 pixels or more).   Download SED & P(z) plots to view larger versions.
In P(z) plots: Yellow lines mark the cluster redshift z = 0.228,  

Object #3540   x,y = (3393, 2812)   RA, Dec = (06:03:21.600, 42:10:14.88) = (90.84000, 42.17080)   BPZ = 1.700 [1.314--2.175]   type = 11.00 (SB11_A_0_l)   stellarity = 0.64   chisq2 = 60.91   ODDS = 0.52   z_cluster = 0.228