RXS0603+42-S IR detection object #3529

Color images and BPZ results
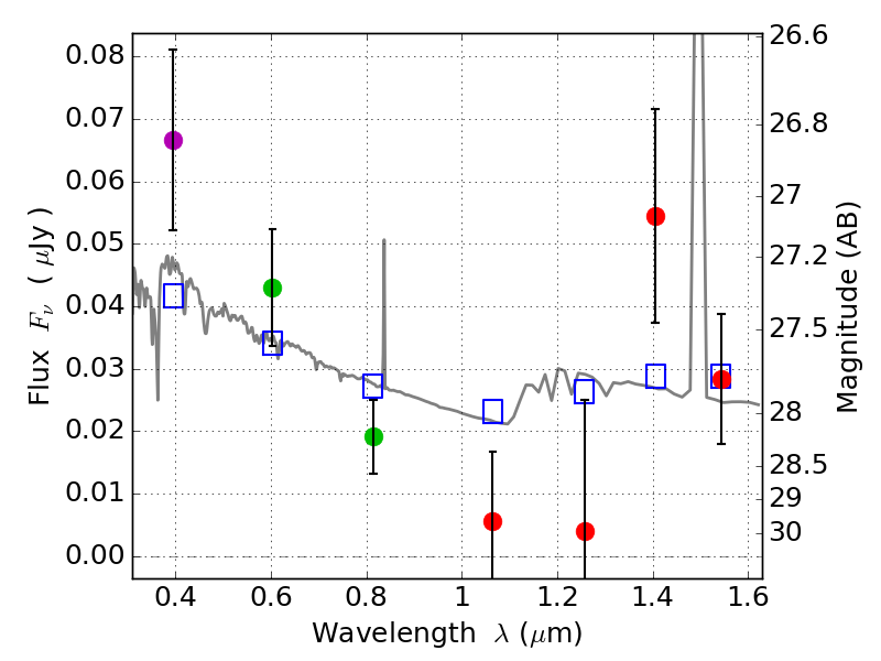
Catalog: 3529.cat
Black segments are analyzed here.   Roll mouse over color images to view segments.
Best viewed in a wide browser window (1200 pixels or more).   Download SED & P(z) plots to view larger versions.
In P(z) plots: Yellow lines mark the cluster redshift z = 0.228,  

Object #3529   x,y = (3040, 2815)   RA, Dec = (06:03:23.496, 42:10:15.24) = (90.84790, 42.17090)   BPZ = 1.991 [1.166--2.627]   type = 11.00 (SB11_A_0_l)   stellarity = 0.36   chisq2 = 2.72   ODDS = 0.30   z_cluster = 0.228