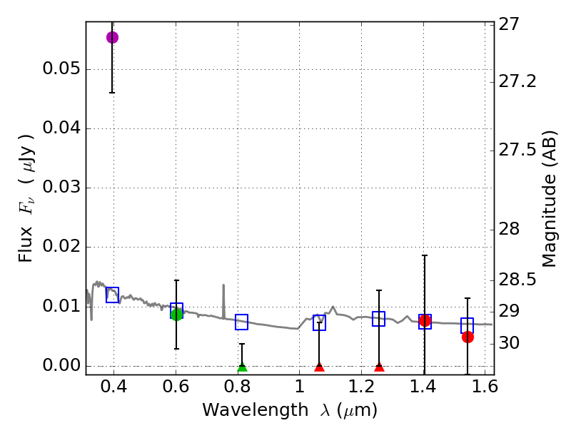
RXS0603+42-S IR detection object #3514

Color images and BPZ results
Catalog: 3514.cat
Black segments are analyzed here.   Roll mouse over color images to view segments.
Best viewed in a wide browser window (1200 pixels or more).   Download SED & P(z) plots to view larger versions.
In P(z) plots: Yellow lines mark the cluster redshift z = 0.228,  

Object #3514   x,y = (3567, 2821)   RA, Dec = (06:03:20.664, 42:10:15.60) = (90.83610, 42.17100)   BPZ = 1.698 [0.416--3.951]   type = 11.00 (SB11_A_0_l)   stellarity = 0.36   chisq2 = 6.54   ODDS = 0.17   z_cluster = 0.228