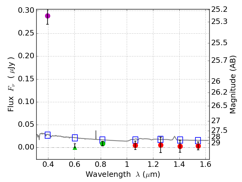
RXS0603+42-S IR detection object #3479

Color images and BPZ results
Catalog: 3479.cat
Black segments are analyzed here.   Roll mouse over color images to view segments.
Best viewed in a wide browser window (1200 pixels or more).   Download SED & P(z) plots to view larger versions.
In P(z) plots: Yellow lines mark the cluster redshift z = 0.228,  

Object #3479   x,y = (2056, 2840)   RA, Dec = (06:03:28.824, 42:10:16.68) = (90.87010, 42.17130)   BPZ = 1.732 [0.928--2.294]   type = 11.00 (SB11_A_0_l)   stellarity = 0.65   chisq2 = 50.01   ODDS = 0.40   z_cluster = 0.228