RXS0603+42-S IR detection object #3408

Color images and BPZ results
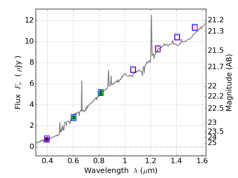
Catalog: 3408.cat
Black segments are analyzed here.   Roll mouse over color images to view segments.
Best viewed in a wide browser window (1200 pixels or more).   Download SED & P(z) plots to view larger versions.
In P(z) plots: Yellow lines mark the cluster redshift z = 0.228,  

Object #3408   x,y = (1370, 2855)   RA, Dec = (06:03:32.520, 42:10:17.76) = (90.88550, 42.17160)   BPZ = 0.332 [0.125--0.461]   type = 6.50 (Scd_B10 - Sbc_B10)   stellarity = 0.00   chisq2 = 0.00   ODDS = 0.44   z_cluster = 0.228