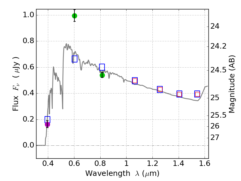
RXS0603+42-S IR detection object #3406

Color images and BPZ results
Catalog: 3406.cat
Black segments are analyzed here.   Roll mouse over color images to view segments.
Best viewed in a wide browser window (1200 pixels or more).   Download SED & P(z) plots to view larger versions.
In P(z) plots: Yellow lines mark the cluster redshift z = 0.228,  

Object #3406   x,y = (1330, 2828)   RA, Dec = (06:03:32.736, 42:10:15.96) = (90.88640, 42.17110)   BPZ = 3.220 [3.145--3.308]   type = 11.00 (SB11_A_0_l)   stellarity = 0.62   chisq2 = 30.20   ODDS = 1.00   z_cluster = 0.228